
Analog의 연속적인 Signal을
Quantization 된 Digital Singal로 변환하려면
Analog의 sampling되는 지점의 값을 반올림 처리해야 한다.
즉, 정확한 analog의 Signal을 1bit resolution range 내로 뭉뚱그려서 포함시킨다는 것이다.
sampling을 진행하는 과정에서 필연적으로 발생하는 difference 값 : Quantization Error
발생한 Quantization Error의 값은 입/출력의 차이값으로 나타난다.


양자화 오류 값인 VQ 값은 최대 ±Δ/2 만큼의 크기를 가진다.
Δ : Magnitude of Quantization Level (양자화 크기)
최대 peak value가 절반인 이유는, 결국 Quatization 과정에서는 Analog signal을 "반올림" 하기 때문이다.
ex) 0.1, 0.2, 0.3 → Quantization → 0
0.6 0.7 0.8 → Quantization → 1
최대 오차 시점은 0.5 → Quantization → 0 이므로
maximum quantization error value = 0.5 (Δ/2)
즉, 오른쪽 그래프에서 보이는 것 처럼, 최대 Δ/2 만큼의 오차를 가지고 quantization을 진행하게 된다.

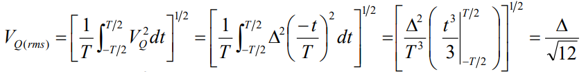
Quantization Noise의 RMS 값을 계산할 수 있다.
VQ(t) : 시간에 따라 변화하는 양자화 noise의 값이라고 할 때.
이때 RMS를 적용하는 방식은
해당 변수값을 제곱한 뒤 적분하여 평균을 구하고
그 값에 제곱근을 씌워 RMS 값을 구해낼 수 있다.
이를 VQ(t)에 동일하게 적용하면

계산된 rms값은 시간에 따른 평균 magnitude 이므로.
noise에 의한 전력 P 의 값을 구하면

Spectral Density

위의 그림은
fs : sampling frequency 라고 했을 때.
구해낸 quantization noise 값이 주파수 영역에서 어떻게 분포하는지 보여준다.
그래프에서 볼 수 있듯이
-fs/2 ~ fs/2 로 설정된 주파수 대역에서
quantization noise는 일정한 spectral density를 갖고 있다.
이때 Se(f)의 값, 즉 spectral density의 값은 kx라는 하나의 상수값으로 일정하게 유지된다.
다시말해서, quantization noise가 샘플링 주파수 range 내에서 균일하게 분포하고 있다는 것이다.
이는 곧 자연상에 존재하는 white noise처럼 동작한다는 것을 알려준다.
이때도 동일하게 Sepectral density에 대한 전력 값을 구하면


'Circuit > ADC' 카테고리의 다른 글
| ADC - Delta-Sigma ADC Converter (1) | 2024.10.13 |
|---|---|
| ADC - Delta-Sigma Modulator Noise (1) | 2024.10.13 |
| ADC - Oversampling Advantage (0) | 2024.10.13 |