<OSR>
OSR : Oversampling Ratio
오버샘플링 비율을 나타내는 지표.

fs - sampling frequency
f0 - signal bandwidth
fs는 항상 2f0보다 커야한다.
이는, original signal의 data를 최소한으로 유지시켜 줄 수 있는 기준이다.
(나이퀴스트 샘플링 주파수)
oversampling 이라는 말의 의미가 여기서 나온다.
오버샘플링의 기본 개념은
signal bandwidth이 2배 이상의 sampling frequency : fs를 사용하는 것이다.
sampling frequency를 높게 가져가면
1. origin signal을 더 origin값과 비슷하게 sampling 할 수 있고
2. Qunatization Noise를 분산시켜 Noise의 영향을 줄일 수 있다.


overall signal bandwidth : -fs/2 ~ fs/2
H(f) : gain of filter
H(f)는 일정 frequency 대역의 signal을 통과시키는 역할을 하므로
-f0 ~ f0 range에서, gain = 1 을 갖는다.
즉, 일정한 density를 갖고
bandwidth 내에 존재하는 quantization noise를
filter를 이용해 bandwidth를 정해주어
상대적으로 noise의 영향을 줄여줄 수 있다.
→ SNR 특성이 더 좋아지게 만들 수 있다.

이러한 oversampling 특징이 있다는 것을 고려했을 때
Sinusodial Input(sine 형태의 signal)이 입력된다고 가정했을 때
cliping 없이 나타날 수 없는 Vpeak,Max 값은 다음과 같다.

N : quantizer bits (sampling bit 수)
Δ : quantization magnitude
이 수식으로, input signal의 크기의 최대치를 알 수 있다.
더 많은 sampling bits를 사용하게 되면
signal의 resolution과 Vpeak값이 커진다.
즉, 더 넓은 range의 signal을 processing 할 수 있게 된다.
Vpeak 값을 이용해서.
sine wave Input singnal 일 때
signal의 rms 값은

RMS의 값은 input signal의 평균적인 크기를 의미한다.
이 RMS 값 자체는, sine wave input signal의 Vpeak값으로부터 계산된다.
즉, signal이 가지는 average power를 의미한다.
다시 말하자면, RMS 값이 크면, signal이 가진 energy가 크다는 것.
===
정리하자면
oversampling은 Quantization Noise을 줄여 SNR을 개선해준다.
이때 만약 input signal이 sine wave의 형태라면
signal이 가지는 Vpeak 값과, RMS를 알아낼 수 있다.
이 값들을 통해, oversampling을 통해 정확하게 signal을 처리할 수 있다는 것을 알 수 있다.
즉, OSR이 높아지면, high resolution과 Vpeak 값을 가지며, 넓은 range의 signal을 cliping 없이 처리할 수 있다.
===
이렇게 알아본 내용을 토대로
정량적으로 검증해보면
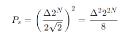
1. Signal Power

Vin(rms) 값을 기반으로
제곱의 형태를 취해주어
Power의 값을 알아낼 수 있다.
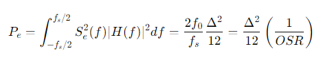
2. Noise Power

Se(f) : Qunatization Noise Spectrum Density
H(f) : Filter
OSR : fs/2f0 ( oversampling ratio)
Quantization Noise Power 값을 frequency range 내에서 적분해 준 값이다.
OSR이 높아질수록 Noise power는 감소한다
3. SNR

최대 signal 값 대비 noise ratio르 나타낸다.
OSR이 증가하면
SNR이 Log scale로 향상된다.
즉, oversampling으로 Quantization noise가 감소해 SNR이 개선된다.

SNR값은 일반적으로 위의 수식처럼 정리 될 수 있다.
6.02N : Qunatization bit 수에 따른 SNR의 증가 (bit를 늘이 떄 마다 6dB 향상)
10log(OSR) : oversampling ratio에 따른 SNR 향상
이러한 결과를 토대로
3dB/octave 만큼 개선된다는 것을 알 수 있다.
→ oversampling ratio를 두 배 늘릴 때마다
SNR이 3dB씩 향상된다.
'Circuit > ADC' 카테고리의 다른 글
| ADC - Delta-Sigma ADC Converter (1) | 2024.10.13 |
|---|---|
| ADC - Delta-Sigma Modulator Noise (1) | 2024.10.13 |
| ADC - Quantization Noise & Spectral Density (0) | 2024.10.11 |