
<Δ∑-modulator의 ovaerall process>
Input Singal u(n)이
전달함수 H(z)를 거쳐
x(n)으로 변환된 후
Quantizer를 통해 y(n)으로 변환된다.
이때, Qunatization Noise를 줄이기 위한
Feedback loop가 적용된다.
Feedback path에서 전달함수 H(z)의 특성에 따라
Noise의 억제 특성이 달라진다.
즉, delta-sigma modulator의 핵심은
STF (Signal Transfer Function) & NTF (Noise Transfer Function)
이다.
<STF & NTF>

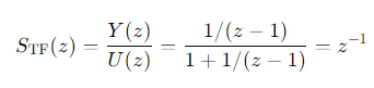
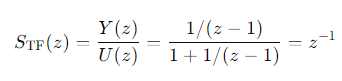
STF는 input signal U(z) - Y(z) 변환 과정을 나타낸다.
H(z)가 커질수록
STF(z)는 ideal해진다.
(1에 수렴하여 signal의 손실 없이 전달한다)
---

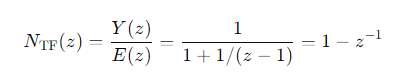
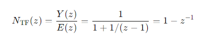
NTF는 Quantization Error의 정도가
출력 Y(z)에 얼마나 영향을 미치는지를 나타낸다
H(z)가 클수록
NTF(z)는 작아진다
즉, noise가 출력 signal에 영향을 미치는 정도가 작아진다
다시말하면, feedback을 통해 noise가 억제된다.
<overall system output singal>

→ H(z)가 커질수록, Noise의 영향력은 작아진다.
<First-Order Noise Shaping>

H(z)는 modulator system의 transfer function이다.
이는 discrete-time integrator 역할을 한다

이러한 전달함수는 특정 frequency 영역의 signal을 통과시키고
noise를 다른 대역으로 밀어내는 역할을 한다.
즉, filter 역할을 통해 Qunatazation noise를 최소화 하려는 방향성을 가지는 것이다.
---
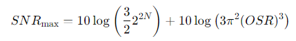
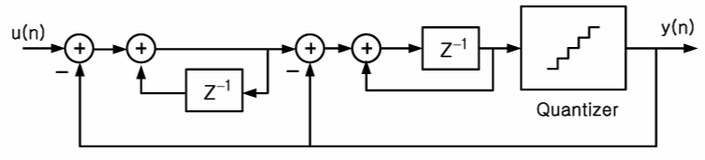
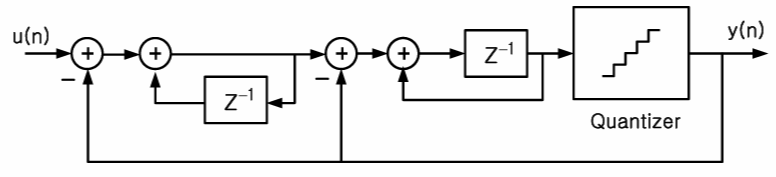
<회로 동작>
1. input signal u(n)은 modulator system에 입력되어 H(z) 전달함수를 거친다.
2. 이때 Z^(-1)로 표현되는 sampling delay 시간만큼 지연된다.
3. x(n) signal은 quantizer를 통해 digital 값 y(n)으로 변환된다.
4. 이렇게 출력된 y(n)은 다시 input으로 feedback되어 인가된다.
---
결국 digital 값으로 변환된 y(n) 값이
feedback을 통해 다시한번 sampling 값 u(n)과 비교하여 Noise를 줄인다.
즉, H(z)를 통해 전달되는 signal은
Quantization Error를 줄이고
Noise Shaping을 통해 high-frequency 영역으로 noise를 밀어내
SNR 값을 향상시킨다.
정량적 분석
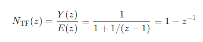
1. STF

1차 시스템에서는 signal이 직접적으로 전달된다.
feedback loop에서의 error가 발생하지 않으면
signal은 왜곡 없이 출력으로 전달된다.
2. NTF

이는 noise가 system을 통과해 출력에 어떻게 전달되는지 보여준다
1-z^(-1) 이라는 수식의 의미는, quatization noise가 high-frequency 영역으로 밀려나게 된다는 것을 의미한다.
feedback loop가 있는 시스템에서
noise는 signal frequency range를 벗어난 구역으로 밀려난다.
즉, noise가 signal range 내에서 줄어든다.

1. NTF(z)
NFT는 결국 noise 성분을 high-frequency 영역으로 밀어내는 역할을 한다.

을 이용해서 수식을 전개하면


즉, f가 커지수록 sin 값이 커진다
이에 따라 noise가 signal range 범위를 벗어나 high frequency 대역으로 이동한다
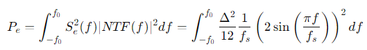
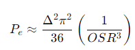
2. Noise Power (Pe)

NTF의 크기를 제곱하여 freqency range 대역으로 적분하면
noise power 값을 얻어낼 수 있다.

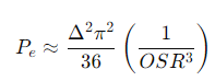
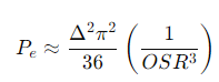
이때 위와 같은 근사를 활용하면

즉, OSR이 커질수록, Pe가 작아진 다는 것을 알 수 있다. (3제곱배)
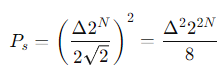
3. Signal Power (Ps)
signal power의 값은 rms와 관련이 있다

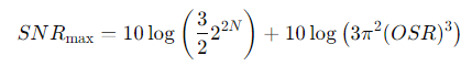
4. SNR
signal power & noise power의 비율을 이용해 SNR을 구해낼 수 있다.



즉, OSR이 증가하면 30log(OSR)에 의해 SNR이 향상된다.
다시 말하면 9dB/octave 개선을 의미한다.
OSR이 두 배 증그할 떄 마다 SNR은 9dB씩 향상된다.
<Second-Order Noise Shaping>

1. STF

STF 값은 1차 system의 전달함수와 동일하다.
즉, 한 주기의 sampling delay만 거치고 출력으로 전달된다.
2. NTF

2차 noise shaping은 1차에서와 달리 NTF의 형태가 제곱으로 나타난다.
즉, noise 억제 효과가 더 강해진다.

즉, f가 커질수록 NTF 크기가 커지며
noise가 더 높은 주파수 대역으로 밀려난다.
3. Noise Power

1차때는 OSR에 대한 3제곱으로 표현되었지만
2차 시스템에서는 5제곱의 형태로
Noise power가 OSR에 따라 훨씬 급격하게 줄어든다.
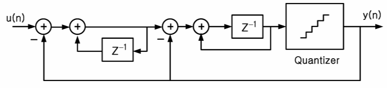
4. Maximum SNR




즉, OSR 증가에 따라 15dB/octave 향상이 발생한다.


noise shaping이 없을 때에는
E(f)와 같이 noise가 일정한 density를 가지는 채로 분포한다.
하지만 noise shaping의 효과로
signal range 범위의 noise를
high-frequency 영역대로 밀어내는 것과 같은 효과를 가져와
SNR을 향상시킬 수 있다.
'Circuit > ADC' 카테고리의 다른 글
| ADC - Delta-Sigma ADC Converter (1) | 2024.10.13 |
|---|---|
| ADC - Oversampling Advantage (0) | 2024.10.13 |
| ADC - Quantization Noise & Spectral Density (0) | 2024.10.11 |